这些健身雷区不要踩

嘿,你健身多久啦?你觉得自己的健身方法正确吗?今天给大家分享6条入门戒律,听话,都是为你好!

一、不要迷信明星

以明星为个人奋斗目标是一件好事,但是也要讲究方式方法,辩证的看待问题,不能全盘模仿复制。所有的冠军或者明星级别运动员的成功都是天赋加努力的结果,都是非常个性另类的珍品,不可复制性极高。所以他们的训练计划往往也只是最适合他们自己而已。

二、没有最佳,只有更好

没有什么是完美的,也没有什么是可以一步到位的,训练更是如此。很多小白在开始接触健身的时候总是会问一些非常直接的问题,比如我要减肥、我要瘦大腿,或者我要增肌、我要练胸肌等等。这些问题看似简单直接清晰明了,看似可以给出合理的计划方案,但实则这些方案是经不起推敲的,容易将练习者引入歧途。

健身是一个探索的过程,需要不断学习、不断实践、不断审视自己来寻找最适合你当前的训练计划。所以对于小白们来说,当你采用一个看似完美的计划开始健身时,每进步一点,这个计划的适合程度就会下降一点,所以你需要不断调整自己的训练计划来保持持续的发展。

唯一不变的事情就是“变”,与其苦苦寻找并不存在的最佳方法,不如从现在开始找一个差不多的普适性的计划开始健身,然后逐渐摸索,提高。

三、天天练习有必要吗?

天天练习可以,但是一定要有足够的基础,而且训练计划必须合理,另外后勤保障不能太差,否则等待你的并不是提高,而是更差更低的训练效果。

对于小白们来说,首先要做到的就是开始健身、适应健身、习惯健身,然后才是突飞猛进,实现目标,追求卓越。过于密集的训练只会适得其反。

四、过于在意局部缺陷

没有人是完美的,局部的缺陷可能影响整体的效果,也确实需要加以重视并且采取相应的措施。但是对于健身小白来说,如果刚上来就聚焦局部缺陷,往往会得不偿失,比如说想发展胸肌的小男生,练着练着胸确实大了,可是往往背也驼了……然后……需要付出更多的代价来纠正……

人是一个平衡的整体,需要全面协调发展共进。然而小白们眼中的局部缺陷往往并非真正的“缺陷”,而是主观渴望强化的局部,所以这类人的初衷就是一个非平衡的,如果投入了过多的精力,最后的结果也必然是歪的。

所以小白开始健身时如果没有专业的教练指导,不妨先放下局部的个性要求,从全身开始练起。

五、过于在意饮食

在意饮食这件事没什么不好,也应该提倡,而且往往减脂初期控制饮食的效果会更好!但是,从训练角度讲,很多小白练得还远远不到位,就将过多的精力花费在计算饮食上,要知道,身体的提高在于合理的训练刺激,精细的饮食会将这个效果放大,但是如果训练不到位,精细的饮食只能放大你浪费的时间。所以,在此建议广大刚入门的小白,先搞定训练,再优化饮食。

六、墙裂推荐加强核心练习

建议了这么多,是不是都给大家说迷糊了,那么到底应该怎么做呢?首先,应该明白自己的状态,是不是很少运动,是不是经常久坐,是不是偏胖或者偏瘦。如果是,对于身体姿势的控制往往是存在问题的,并不能随心所欲地将动作做到标准,可能也体会不到什么是标准,甚至体会不到目标肌肉的发力。而这现象往往最常出现在核心区、脊柱段,也是最严重的。所以,小白们的健身应当从核心区开始。

对于激活核心来说,最重要的是呼吸,在运动前通过呼吸激活核心尤为重要。

接下来给大家推荐几个激活核心的进阶动作:

1.平板支撑

头部中立位,手肘在肩的正下方,大臂垂直地面,小臂贴地,掌心向下或握拳,小臂与手部积极按压地面,分散手肘处压力;双脚距离与髋同宽,或者并拢。撑起前做骨盆后倾,臀部夹紧,腹部收紧,调整好呼吸,撑起身体。

动作过程中保持后背上的PVC杆不发生掉落或者倾斜。全程不要憋气,在保持正确的姿势下,能撑多久就撑多久。

2. 猫式伸展

猫式重点在收腹的极限收缩,唤醒你沉睡的腹肌,同时体会骨盆的运动,10~15次,2~3组。

3. 跪式侧桥

侧卧位,肘在肩膀正下方,勾脚尖,核心收紧让躯干保持直立,脊柱骨盆中立位。肩、髋、膝、踝在一条直线上,正面观身体成一条直线,侧面观身体也成一条直线,30秒每组,2~3组。

4. 飞燕式or超人式

超人式重点刺激竖脊肌,静态保持30秒每组,2~3组;动态15~20次每组,2~3组。

兵马未动粮草先行,核心区是身体稳定运动的保障,所以建议小白们在正式开始其他强度较高的肢体练习之前优先强化它,而且对于办公室一族来说,核心区薄弱绝对是普适性的硬伤。训练频率建议隔天一练,但是本套练习强度较小,之后可以考虑增加训练频率。

来源:知乎 www.zhihu.com

作者:邵苏

【知乎日报】千万用户的选择,做朋友圈里的新鲜事分享大牛。
点击下载

男童在幼儿园烫成重伤,家长天价索赔是否构成敲诈勒索罪?

不会!

天价索赔被认定敲诈勒索的时代,已经一去不复返了!

昨晚,济南天桥区的小太阳幼儿园就读的4岁孩子腾腾被烫伤的事件被大家关注。

这种案件,经过鉴定,小腾腾如果是被他人故意烫伤,如果构成轻伤以上的程度,肇事者可能就涉嫌故意伤害罪。

另外,肇事者除了要承担相应的刑事责任,其本人和单位也应该承担相应的民事责任。而有网友担心,对于赔偿的要求如果太高是否会构成敲诈勒索罪?

在此提醒,不会。凡是有合理的侵权、债权纠纷基础的索赔要求,都不会涉及敲诈勒索罪。

之所以网友会有这样的疑惑,是因为受害人腾腾爸爸与一位热心网友的聊天记录:

内容中,腾腾爸爸(聊天记录左边人物)比较担心幼儿园在引导其走经济赔偿,待其提出索赔要求后,然后会诬陷其为敲诈勒索。

在此提醒:据我国司法实践和瞧着勒索罪的犯罪构成,凡是有正常侵权、债权债务基础纠纷的索赔要求,即便是索赔十个亿,都不会涉嫌敲诈勒索犯罪。因为天价索赔的行为人并没有采用故意捏造、虚构事实等非法手段来“威胁”或“要挟”,这种“索赔”的手段行为恰恰是法律范围内的维权行为。

比如本案,腾腾被烫伤,幼儿园肯定要负责,自己孩子的权利受到侵害,腾腾请尽管提出索赔要求,法律保护这种权利,至于赔偿数额,法院会交给当事人自己协商,协商不成法院再根据实际情况判决,但是前提是法院尊重双方当事人的意思自治。因此,基于合法权益被侵犯的“天价索赔”,不等于敲诈勒索;“过度维权”行为也有民事法律规制,无需刑法伺候。

腾腾爸爸之所有会有这样的担心,的确是因为以前我国发生过因天价索赔被判敲诈勒索罪成立的案例比比皆是。这种简单机械式的司法认定带来的后果自然是舆论哗然、令人哭笑不得,也悖离了敲诈勒索罪的立法目的。

比如以前有个著名的案例,黄静华硕维权案,2006年,大学生黄静买了台不合格的华硕电脑,黄静代理人周成宇提出了要求华硕公司按照其年营业额0.05%进行惩罚性赔偿,数额为500万美元。此后,华硕公司向警方报案称其受到敲诈勒索。这导致2006年3月7日当事人黄静及周成宇被刑事拘留并被批准逮捕。之后黄静被关押十个月,在看守所度过了10个月。黄静终因“冤狱”获得了国家赔偿。

后来,又有一个和本案更类似的案例,三聚氰胺受害儿童父亲索赔案改判无罪案!2008年9月,消费者郭利因女儿曾食用过施恩牌奶粉,带女儿到医院检查显示:“双肾中央集合系统内可见数个点状强回声”。随后,郭利多次找销售商和施恩公司索赔,2009年6月13日,施恩公司与郭利达成和解协议,施恩公司补偿郭利一方人民币40万元,郭利出具书面材料表示不再追诉并放弃赔偿要求。之后,郭利提出要求对方再赔偿300万元。雅士利公司认为郭利提出过高要求是对其敲诈勒索遂报案,郭利被抓获,广东省潮安县人民法院一审认定被告人郭利犯敲诈勒索罪,判处有期徒刑五年。

后来,广东高院再审认为:从本案发生、发展的过程看,尚不能认定郭利的行为性质超出民事纠纷的范畴。现有证据不足以证明郭利具有非法占有他人财物的目的,也不足以证明郭利实施了敲诈勒索行为。故判决撤销潮州中院及潮安县法院原裁判,改判原审被告人郭利无罪。

因此,随着国内法治水平不断进步,近年的司法实践证明,只要行为人不是故意捏造、虚构事实的“索赔”,那也只是民事纠纷的范畴,不属于刑事方面的敲诈勒索。近些年的大量案例基本持有此种观点。

天价索赔被认定敲诈勒索的时代,已经一去不复返了!

来源:知乎 www.zhihu.com

作者:广强曾杰

【知乎日报】千万用户的选择,做朋友圈里的新鲜事分享大牛。
点击下载

此问题还有 12 个回答,查看全部。

如何理解矩阵转置和求逆的可交换性?

这是一个有趣的问题,但是要理解它不简单,甚至你会后悔干嘛要去理解什么几何。
由于过程很长,我帮你理一下思路:
矩阵(算子)对应于一个空间中的子空间(平面),取逆和取对偶(转置)变成一个空间上的简单变换。这两个变换是显然可交换的。

对了,矩阵的对偶是转置在复数域上的推广,一个矩阵的对偶是取转置后取复数共轭。一个实矩阵的对偶和转置是一样的。
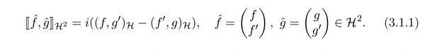
要理解这个问题,需要了解什么叫Krein空间。我就不玩复杂的,尽量简单点。一个从\mathcal{H}:=\mathbb{C}^n映到自己的矩阵(线性映射)A可以看成是积空间\mathbb{C}^{2n}=\mathcal{H}\times\mathcal{H}=\mathcal{H}^2中的一个线形闭子空间(也有人管这个叫“图”),就是说我们定义
y=Ax\Longleftrightarrow (x,y)^{T}\in A,
(右边的A不再是一个矩阵了,而是一个空间)。其实不难理解,一个矩阵可以看成是一个它的图像,也就是说一个平面,放过来,一个(足够好的)平面唯一的确定一个矩阵。

于是我们可以把它的逆也看成一个子空间A^{-1}:=\{(y,x)^T\in \mathcal{H}^2; (x,y)^T\in A\}
可以简单的证明,这个空间对应的矩阵刚好是矩阵的逆矩阵。

我们可以引入一个向量逆运算:对于 一个向量\hat{f}=\begin{pmatrix}f\\ f, 定义它的逆\hat{f}^{-1}:=\begin{pmatrix}f. 于是\hat{f}\in A当且仅当\hat{f}^{-1}\in A^{-1}.

对于空间\mathcal{H}^2,我们引入下面的Krein内积。


这里:(f,g)_{\mathcal{H}}=f\cdot \overline{g}.
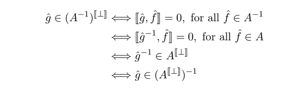
于是,矩阵的对偶矩阵可以看成是这个空间在krein内积下的正交空间。


(想一想为什么?),有了这些几何理解后,下面的结果就是简单。


我有时间再解释吧,这种思维可以推广到更一般的情况。这种把算子看成空间的思维是现在泛函分析的一般方法了,没什么好奇怪的

来源:知乎 www.zhihu.com

作者:dhchen

【知乎日报】千万用户的选择,做朋友圈里的新鲜事分享大牛。
点击下载

此问题还有 7 个回答,查看全部。

延伸阅读:

在进行线性回归时,为什么最小二乘法是最优方法?

如何用简单易懂的例子解释隐马尔可夫模型?从更几何一点的角度来说,有限维线性空间里的泛函可以看作是一维的线性映射,所以它有n-1维的核空间,也就是这个空间里的向量经过泛函作用之后得到了0。如果我们在这个线性空间上按照欧式几何规定内积

<\alpha, \beta> = \beta^T\alpha = \alpha^T\beta

泛函的特征向量实际上就是这个核空间的正交补,或者用更几何的说法,它的特征向量就是这个n-1维超平面的法向量。注意同一个超平面的法向量可以有不同的方向(正负)以及长度,它们对应了线性相关的一组泛函。

考虑一个n维到n维的线性映射A,它将一个n-1维超平面映射到了另一个超平面,这个新的超平面也有对应的法向量,一般来说它并不是原来的法向量经过A映射得到的结果,因为一般的线性映射并不会保证内积的不变性。那么新的法向量和原来的法向量究竟是什么关系呢?

实质上就是要找到一个映射B,使得:

<A\alpha, B\beta> = <\alpha, \beta>

对于内积来说,有

<A\alpha, \beta> = <\alpha, A^T\beta>

因此显然有

B = (A^T)^{-1}

可见A与 (A^T)^{-1} 是一对保证内积不变的线性映射,将它们分别作用于两个向量,可以使得两个向量的内积保持不变。

但是内积是对称的,那么如果我反过来,将 (A^T)^{-1} 作用到n-1维平面上,那法向量的线性映射就是A了,这说明取转置再取逆这个操作,重复执行两次,能得到原始的线性映射!于是我们就得到

(((A^T)^{-1})^T)^{-1} = A

也就是

(A^T)^{-1} = (A^{-1})^T

这是从保持内积不变的角度来讨论。从这里也可以看出,保内积的两个映射永远是一对,如果去掉取逆的过程,就是之前的对偶的概念了。

来源:知乎 www.zhihu.com

作者:灵剑

【知乎日报】千万用户的选择,做朋友圈里的新鲜事分享大牛。
点击下载

此问题还有 7 个回答,查看全部。

延伸阅读:

在进行线性回归时,为什么最小二乘法是最优方法?

如何用简单易懂的例子解释隐马尔可夫模型?

如何理解《暴裂无声》的结局?

其实在第一次看到《暴裂无声》的剧本时,我觉得到徐律师最后一句“没了”就应该结束了,后来和导演讨论时导演说炸山的结局是为了给观众一个心理的出口,再之后的结尾孩子在墙上画画的彩蛋是整部电影的点睛之笔。坏人有坏报是必须要有的结果,它是一个非常积极正面的东西。

但是就我个人而言,这三个结局都有浮出水面的重要寓意存在。第一个结局是电影里真正的恶人浮出水面,中间的结局其实是张保民内心状态浮出水面,最后一个结局则是真相浮出水面。我觉得这三个不同的结局刚好针对不同的观众。让观众自己选择哪个是他们喜欢的结局。但是表面下还有深层寓意,这三个结局彼此之间又有联系层层递进,这要细心的观众自己去揣摩思考,我就不多说了。

我跟我身边看完电影的朋友交流,他们有些人喜欢徐文杰“没了”的第一个结局,觉得到这儿电影就应该结束了。但是对于普通观众来说是需要第二个结局会让他们心里有个出口,因为这是替张保民内心发泄的一声呐喊,这个镜头同样是一个有仪式感的结束。

每个人对这部电影的解读都会有自己不同的看法。对于部分没有完全看懂的观众来说,最后的结局是能让观众看明白整部电影最终的凶手究竟是谁。当然,我觉得这部电影更关乎的是凶手的选择,而不是简单的找谁是凶手。

来源:知乎 www.zhihu.com

作者:袁文康

【知乎日报】千万用户的选择,做朋友圈里的新鲜事分享大牛。
点击下载

此问题还有 6 个回答,查看全部。

鄙视游戏,眼红游戏:阿里纠结的这些年

阿里叒要发力游戏业务了。

对市场上的吃瓜群众来说,最鲜明的一个讯号,是今天阿里游戏正式宣布代理了《旅行青蛙》,并在国内推出中文版。

而对行业来说,从上周二开始,关于阿里游戏的新闻就在不断传播,说阿里游戏的业务重心转为了自研,并进行了大规模的行业挖角。传言很多网易杭州的游戏开发大牛都被挖了过去,其中原网易杭州首席美术师,《天谕》美术总监,曾任《创世西游》主美术的费剑锋已经在2017年底离职网易加入阿里,担任阿里游戏美术中心的负责人。

从2013年阿里正式启动游戏业务起,这已不知是第几次阿里发力游戏业务的信号,阿里游戏成功给人一种“一直在努力,从来没入门”的感觉。

比较戏剧性的是,在这次对游戏行业大规模挖角前,两名阿里高管还分别在不同场合diss了游戏。

先是在前几个月的乌镇互联网大会后,阿里巴巴合伙人之一、阿里集团公关委员会主席王帅,在阿里云创学院的开学仪式上说:

在一个不发达的国家,每个人都有大把的时间,去说道,去抒发。时间成本越不值钱的国家,游戏就会越赚钱。在座的各位,大家有时间玩游戏玩一天一夜?因为你们太忙了。而面对游戏得有多强的自制能力?前两天香港有家媒体,说某位官员玩王者荣耀,不结束就不开会。连这种级别都沉迷至此,如何想象孩子们能防沉迷?

腾讯说半条命给了合作伙伴,但腾讯整条命却都是小学生给的。

另外一次发生在被誉为“阿里内部创业典范”的产品“钉钉”的动员会上,钉钉CEO无招说:

腾讯是一家没有使命感和梦想的公司,整天就知道做游戏做游戏,所以大家看看身边的朋友都买谁的股票。

虽说主要是为了diss腾讯吧,但这俩人这几句话实在是无知到了一个程度,连网上的键盘侠都不如,让人连反驳的兴趣都没有。

然而嘴上再怎么说着不要,身体却很诚实。

1

阿里高管们对游戏的态度,和马云爸爸一脉相承。

马云第一次公开表示不会做游戏,是在2005年,当时他说:

2002年如果把所有资金都押在游戏上,过一两年就可以赚钱。但是2002年有一件事儿让我猛然惊醒,有一个亲戚跟我说他晚上和太太玩游戏到夜里三点钟,我又看见我儿子天天回来跟我讲游戏,如果发现所有孩子都在玩游戏的时候,一个国家会怎么样?所以我说阿里巴巴钱再多也不投游戏。我们有我们的想法,所以至今为止我们没有投入一分钱做游戏,别人做我不管,但是我不会做。”

到了2008年,马云说出了那句经典的“饿死也不会做游戏”,当时是这么个语境:

我通过分析发现了在全世界时间不值钱的国家里游戏是最畅销的。你会发现全世界最先进的游戏国家是哪些?美国、韩国、日本,但是这些国家永远不鼓励自己的老百姓玩游戏,它用来出口。有一天我们的领导突然会醒过来问我们孩子在干什么?在玩游戏的话,一定要对他进行限制。因为游戏不能改变中国的现状。所以我说不做游戏,饿死也不做游戏。

如果和文章最开始王帅的言论对照观看,就会发现这位阿里的发言人和公关负责人的精神世界和马云是贯通的。

2010年,马云在向政府汇报的场合,又重申了阿里对游戏的态度:

“我们坚定地认为游戏不能改变中国,中国本来就是独生子女家庭,孩子们都玩游戏的话,国家将来怎么办?所以游戏我们一分钱也不投。人家投,我们鼓掌,但我们不做,这是我们的一个原则。

2013年初,马云受邀访问哥伦毕业大学商学院进行演讲,再次自豪地宣称,阿里是唯一一家不开发网游的互联网公司。

在前后八年的时间里,三番两次在各种场合表态阿里不做游戏,可见马云不为利益所动,态度坚定,绝不只是说说而已。

2013年底,阿里进军游戏行业。

2

游戏工委的产业年报上讲,2005年,中国游戏行业的总营收是38.4亿。到2013年,这个数字变成了831.7亿。

马云说了八年不做游戏,八年间游戏市场的盘子增长了20多倍。

2013年,手游行业开始高速发展,增长率高达250%,几乎每个人都能看到手游将成为移动互联网时代重要的一环。

想要在移动互联网时代与腾讯对抗的阿里无法继续坐视错失机会。

当时作为阿里发言人的王帅——就是前面说“时间成本越不值钱的国家,游戏就会越赚钱”的那位朋友——是这样说的:

“随着4G的推出、智能终端的普及,游戏已经成为移动互联网核心技术应用的关键,这是谁都不能忽视的趋势。”

于是2013年末,阿里从腾讯挖来年轻有为的高管刘春宁,由他担任阿里巴巴数字娱乐事业群总裁,全面负责手游发行等相关业务。

阿里希望利用淘宝等巨大的流量入口,来建立一个足够规模的应用市场。

当时,国内安卓渠道分成比例大都在73分成,好点的是64,渠道拿大头。业界曾一度传闻部分强势渠道的分成比例达到9:1,即便如此,排着队拿产品希望能上热门渠道的开发商依然络绎不绝。

对于饱受渠道“欺压”的游戏开发团队,阿里相当有针对性,一出场就提出了颇具吸引力的分成模式:7:2:1(游戏开发者拿7,阿里拿2,其余10%捐助给教育基金)。阿里宣称,要打造一个健康、开放、共赢的游戏生态链。

不少分析认为,以阿里庞大的流量资源,进军游戏行业不是问题,当时的市场还处于渠道为王的阶段,有量就是爹

但是,且不论阿里的电商流量对游戏来说能有多少有效转化,光是刘春宁这样的阿里体系外来者,想要在体系庞大纷繁复杂的阿里内部,撬动阿里最为宝贵的流量资源,就已经难上加难了。

3

刘春宁执掌下的阿里游戏,还是挺努力的。

  • 2014年1月,手机淘宝上线游戏中心,发布《疯狂玩具》,阿里旗下的通讯工具来往推出《啪啪啪》和《啵啵啵》;
  • 同年3月,引入首款代理游戏《索尼克冲刺》;
  • 4月,宣布引入韩国手游《突突三国》和《弓箭》;
  • 5月,代理欧美休闲游戏开发商Dots公司的《点点》(Dots);
  • 6月,代理东方卫视同名电视节目官方手游《花样爷爷》;
  • 7月,代理Gameloft的《近地联盟先遣队3》《冰川时代:村庄》,并推出《暖暖环游世界》游戏与电商业务打通;
  • 9月,代理Rovio旗下《愤怒的小鸟:斯黛拉》。

阿里初涉游戏,自然需要强力产品来保驾护航,在前开路。上面这几款,乍一看有社交,有重度,有海外引进,有IP联动,行业里的几种方向,看似面面俱到。

但实际上,这些产品大多属于吃屎都赶不上热的,毫无竞争力。

《索尼克冲刺》是上线一两年的老游戏,这个IP本身,对国内用户的吸引力远没有名气那么大;《点点》在国外有过不错的名次,不过这类玩法轻度的休闲小游戏基本都是昙花一现,每年类似成绩的游戏没有一百也有八十;《花样爷爷》大概是想模仿《爸爸去哪儿》的路子搞艺游联动,但玩法怪异,节目本身也反响平平,大多数人连听都没有听说过。

最后忙活大半年,阿里游戏唯一做成功的,是借《暖暖环游世界》卖出去不少衣服,被冠上了跨界“游戏+电商”创新之举的说辞,成了正面案例频频对外宣传。

到了10月,坏事接踵而至,先是《疯狂来往》爆出用户隐私泄露事件,大量私密视频未经用户同意被公开上传至优酷;

接着,《突突三国》开发商Pati Games宣布和阿里解约,早前宣布的《弓箭》等一票游戏也始终不见踪影。

更致命的是,淘宝手机客户端上的“游戏中心”,阿里手游唯一的大流量入口,10月起便被关闭,基本宣告阿里手游的尝试以失败告终。

在当年9月上线的《愤怒的小鸟:斯黛拉》里,主界面右下角出现了三个入口,分别是官方微博、淘宝和天猫。这幅怪异的画面成了阿里游戏处境最生动的写照——不仅没有流量导入,还要反过来给电商导流输血。

2014年,阿里收购了俞永福的UC,在当时的安卓市场,UC九游还占有很大的份额。刘春宁提出的和游戏开发团队7:2:1的良心分成模式曾收获一片好评,但是UC对手游开发团队的分成比例依然坚持五五的分成比例,可见刘对于阿里内部关于游戏的资源都很难做到有效的整合,更不用说那些盘根错节利益无数的电商流量了。

于此同时,阿里的团队当时也是从很多游戏发行公司和渠道挖人,但是人员素质参差不齐,加上没有团队的磨合,因此在业务推进上也是进展缓慢,最终这次阿里进军游戏行业的动作显得颇有些雷声大雨点小。

一年下来,阿里游戏在原地打了个转。

4

马云说,“企鹅走出了南极洲了,他们在试图适应酷热天气,让世界变成他们适应的气候,与其等待被害,不如杀去南极洲。去人家家里打架,该砸的就砸,该摔的狠狠地摔。”

做来往,做游戏,背后的逻辑莫不如此。不管在游戏业务上能取得什么样的成绩,有一点是必须保证的,那就是得向腾讯彰显一下存在感,做不成搅局者,那就做个搅屎棍。

也正是出于这样的思想,阿里做了唯二两个自研游戏,在来往上线。一个叫做《啪啪啪》,一个叫做《啵啵啵》。

《啪啪啪》是泡泡龙玩法,而《啵啵啵》是一款记忆音符的游戏。但这不是核心,游戏真正的主题是,玩家可以在这两个游戏里痛殴企鹅

在《啪啪啪》里,企鹅泡泡被打破,企鹅就会满脸鼻涕眼泪地掉下来,而《啵啵啵》里,输的一方的企鹅会被打得鼻青脸肿。

不仅在自己做的游戏里意淫,阿里还要求合作伙伴在游戏里加入殴打企鹅的场景。

前NGA创始人、现游戏创业者Ediart发微博回忆说,几年前阿里看上了他公司一款休闲游戏,叫他去聊聊。当场阿里的人提了两个需求,这两个需求是这样的:

第一,游戏里的各种服装“点一下就可以跳到淘宝购买同款”;

第二,“希望加入企鹅作为敌人供玩家殴打”。

现实里没法对腾讯造成威胁的阿里,只能在游戏里上演幼稚的精神胜利。

2013年10月,阿里巴巴以年薪200万的高价,挖来前九城副总裁Tony Park作为海外游戏引入负责人,结果不到一年便离职走人。2014年6月,阿里游戏的掌舵人刘春宁出任阿里影业总裁,之后也不再谈及手游业务,专注影视文娱。

2014年底,外界传言刘春宁解散阿里游戏部门,退出游戏业务。

阿里对此辟谣说,并未放弃手游业务,而是在未来将手游业务交由UC九游负责。一年后,UC九游更名“阿里游戏”,俞永福亲自担任阿里游戏董事长,UC九游总裁林永颂出任阿里游戏总裁。

换帅之后的阿里游戏,好歹算是游戏行业正规军了,开始了游戏行业的第二轮攻坚。

5

但这时手游渠道市场发生了巨大变化,特别是,硬核联盟这类手机硬件应用市场的兴起,导致手游分发渠道的格局发生了巨大的变化。UC在手游分发市场的地位逐渐下降,开始向其他领域寻求突破。

2017年3月,阿里游戏举行了一场战略发布会,宣布全面进军游戏发行领域,再次向外界表达对游戏行业满满的信心:计划投入10亿资金助力游戏IP生态发展,并与阿里文学、阿里影业、优酷联手推出“IP裂变计划”。

可以看出,此时阿里的游戏策略已经由做渠道改成了做发行,还公布了多款代理的手游。不过依然是概念高大上,一旦落实到现实便摇摇欲坠,心比天高,命比纸薄。

上面说的这个发布会距今已有一年有余,这一年间只上线了《刀剑兵器谱》和《自由之战2》两款游戏且都成绩平平,发行数量和成绩不用说和腾讯网易对比,甚至比不上一些中型的手游发行公司。

这场发布会上提到的另外一项重点,即文娱领域的影游联动上,阿里给予厚望的《武动乾坤》电视剧,至今也没有上线,更不用说斥巨资购入版权开发的手游版了。

但在这之后,阿里在游戏业务的拓展上就没有止歇。2017年9月,阿里收购广州简悦的新闻正式公布,阿里也正式进入了游戏开发领域,并开始了成建制的收购游戏开发团队,包括近来大肆从网易等成功游戏开发公司挖人,也是加强自研业务的一部分。

你可以看到,虽然策略几经转变,但是为了能吃到手游市场的一块蛋糕,阿里在游戏业务上已经做了很大的投入,其中包括:重金收购开发团队、重金挖角研发人才,以及单独成立了游戏事业群。

直到今天,阿里游戏又宣布代理《旅行青蛙》。这个新闻引起了不小的讨论,至此,阿里也超出了一般的口嫌体直的范畴,升级到了“嘴上说着不要,衣服都已经脱干净利落了”的程度了。

最火时谈代理,过气了才上线,这符合阿里游戏的一贯调性

即便如此,对于阿里的一众高管来说,游戏还是像一个不愿意去碰的不洁之物,这种纠结的态度成为阿里游戏挥之不去的阴影。过去那些坐拥巨大流量和资源的互联网巨头,进军游戏业务时,即便高层调动公司资源全力支持,都未必能够成功。如果连高层都对游戏持怀疑态度,无法正视这一行业,内部又无法有效整合资源的话,这个业务最终又会怎样?

2005年,马云说如果把资金全部压在游戏上,过一两年就可以赚钱。可以看出马老板不光内心深处对游戏是鄙视的,还非常低估游戏行业的门槛和玩家的智商。觉得做游戏是屈了尊,别人能赚钱,我马云何等人物,不是更手到擒来?

如今回头再看,马老板应该庆幸自己当年没有压宝游戏,否则,我们可能就见不到今天的阿里巴巴了。

*知乎初来乍到,这是我发的第四篇文章,搬运自我的公众号(名字叫“对对对你们都是业内”),原文是前几天发布的,所以时间描述可能有点对不上,各位凑合着看吧。

之后会不定期更新,要关注哪边的帐号就看你们随意了。

来源:知乎 www.zhihu.com

作者:对长

【知乎日报】千万用户的选择,做朋友圈里的新鲜事分享大牛。
点击下载

笃笃笃,春天的“鲜气”全在这一锅腌笃鲜

腌笃鲜是自带音效的。“笃”在江南地方话里是“小火慢煮”的意思,舌尖抵住上牙齿,短而轻促的一声“笃”,耳边就好像能听到锅里咕嘟咕嘟冒开的气泡。

每一户上海人家都有独门的腌笃鲜秘方。有人用冬笋代替春笋解馋,有人用火腿充当咸肉,还有人要放几段莴笋方能将息……就连写文章里最会吃的汪曾祺先生都曾在《肉食者不鄙》里提到“腌笃鲜”:“上海菜。鲜肉和咸肉同炖,加扁尖笋。”这话放到现在,大概是要被上海网友笑话的,文学界美食KOL地位恐怕不保。毕竟,腌笃鲜的灵气就在那水当当的新鲜春笋呀。

腌笃鲜是道集大成的本帮菜。“腌”就是腌过的咸肉,“鲜”即是鲜肉和鲜笋,至于“笃”就是烹饪手法。光是一个名号,就叫人浮想联翩。如果不是一味时令的春笋,腌笃鲜几乎是没什么门槛的当家菜。

春笋在水里焯一下能去掉涩味,现在大多把根部切除扔掉。搁在以前,这也是当家主妇舍不得丢的,他们认为越老的部位,鲜味越足。如果你是淡口爱好者,腌笃鲜是不需要加盐的,几方冬天里腌的咸肉就能毫不费力地扑腾出满室咸香。原本制霸餐桌的猪腿肉到了这里,也不得不心甘情愿充当配角,谁叫这春天就是春笋的主场。

不过腌笃鲜是食材的群戏,任何一样寻常食材和春笋在这一锅里“笃忒一歇”都会变得鲜活精彩。鲜肉的肌理吸饱了春笋的清甜,濯去油腻,像是脱下冬装,轻装上阵。倘若还嫌这一锅浓汤不够热闹,那就放一把百叶结下去。我今天要教大家做的腌笃鲜就用了自己做的百叶结。从市场买回百叶,卷成卷儿,再轻轻挽成8字结,讨巧可爱,关键是让这一群原本稍嫌寡淡的家伙有了更多空间吸收笃出来的鲜香。

心急的人是吃不了腌笃鲜的。面对柔嫩的春笋,任是谁都不忍心催着它释放香气,所以尽可能耐着心用小火笃。切成滚刀块的春笋在愈见深厚的汤色里上下翻浮,每一次冒出头来都意味着清鲜又浓几分。不过,为了保持肉的嚼劲和笋的脆嫩,腌笃鲜最好不要笃超过一个半小时。

有笋有肉的腌笃鲜是不适合一人食的,全家聚在一起才别有滋味。小孩用筷子挑起笋尖,大人捞起肥瘦正好的鲜肉,老人则夹百叶结慢慢磨嚼。但所有人的开场一定是舀一碗汤,“鲜”把味蕾叫醒。下面就来教大家笃一锅春意盎然的腌笃鲜,留心不要鲜掉眉毛哦~

-

INGREDIENTS | 腌笃鲜

咸肉 100g 猪腿肉 100g

春笋 2根 百叶结10个

香葱2棵 黄酒1汤匙

老姜1小块(约10g)

METHOD | 腌笃鲜

1. 鲜肉和咸肉分别切大块。

2. 鲜肉块和咸肉块分别放入冷水锅中,中火煮小沸,去掉血沫。

3. 竹笋沿长边切一刀,沿切面层层剥去外皮,切掉老根。

4. 整根春笋放入冷水煮锅中,中火煮开5分钟,捞出沥干,切成大的滚刀块。

5. 砂锅中放入两种肉,加足量冷水(或高汤),大火煮开,撇去浮沫。

6. 在锅里放葱结、姜块、黄酒。加锅盖,改小火焖煮1小时。放入汆好的春笋。继续焖煮15分钟。

7. 焖的时候我们来做百叶结。买来的整张百叶中间改刀切成2张,沿着长边卷成卷,拧一拧,卷成8字结。

沿着长边卷成卷;

拧一拧,卷成8字结。

8. 百叶结用开水焯一下,去除豆腥。然后放入砂锅中煮10分钟。注意百叶结不要煮太久,出锅前下就可以。

9. 盛出一碗,撒香葱粒,还可以根据口味放一点盐调味。

~ 来互动呀

嘿!说说家乡菜!

春天了吃什么解馋?

图文均原创

转载请留言

来源:知乎 www.zhihu.com

作者:任芸丽

【知乎日报】千万用户的选择,做朋友圈里的新鲜事分享大牛。
点击下载

有哪些人性的黑暗面,尤其是男女关系的黑暗面?

话不多说,先来分享一种亲密关系中非常常见,却难以识别的“黑暗面”:

“一切都是为你好”为幌子的“高压控制”

高压型控制,是在两个人的关系中,一方通过一系列的行为伎俩(behavioral tactics)来达到控制和支配另一方的目的。(Day & Bowen, 2014)。

不同于身体或性暴力,高压型控制对受害者所造成的伤害往往是心理和情绪上的,并且通常都十分微妙,甚至连受害者自身都很难觉察。Fontes(2015)在书中将它称为是一种隐形的枷锁(invisible chain)。那么,怎么来更直观地识别、觉察自己可能正在遭受的暴力呢?我们根据美国的一个家暴心理教育项目提出的“权利与控制之轮”,总结了高压型控制最常见的四大手段:

1. 隔离(Isolation)

你说:我想和他们一起玩
Ta说:具体去哪?什么时候去?什么时候回?
你太单纯了,他们根本没把你当朋友,只不过是把你当取款机而已。
这个世界太复杂了,人心难测,只有我在真正关心你,在乎你。
他们接近你都是有目的的,不像我是真的爱你,凡事都从你的利益出发。

一方面,Ta会努力让你主动与自己的社交圈隔离。Ta会控制你所接触的人,所去到的地方,所参与的活动等等,以上这些你都需要向他报备,并必须首先获得Ta的允许。同时,你的外出会受到严格的限制,出门的频率,持续时间,最晚到家时间等等。Ta还会诋毁你的所接触的人,试图使你远离他们。逐渐地,你就远离了可能给自己帮助的其他亲人朋友。

另一方面,Ta还会设法让你的社交圈远离你。在众人面前,反复强调你有多么的不愿意参与这些社交活动。甚至制造一些谣言,导致你与亲友的关系破裂。不断地在你生活中制造“众叛亲离”的场面,并不断告诉你,其他人最终都会离开,唯有Ta是可以信任的,对你不离不弃的人。慢慢的,你也开始相信Ta的这套说辞。

2. 情绪虐待(Emotional Abuse)

你说:为什么我要按照你说的做呢?
Ta说:相爱的人难道不应该努力让彼此感到幸福吗?
你爱我吗?如果你爱我,你就应该照我说的去做,让我开心,不是吗?
你不听话,惹我生气,你这是孝顺吗?我白养你了?!

Ta会在关系中反复向你强调,彼此之间就应该互相尊重和体谅。起初,这样的约定会让人相信这段关系将会是平等而美好的。然而,在两人相处的过程中,这却变成了你需要单方面遵守的约定。

当你做出让Ta感到不满的行为时,Ta就会以“你爱(孝顺)我就应该尊重我的感受”进行道德绑架,使你产生负罪感。而当Ta做出让你感到不快的事时,Ta却说,“是你太敏感,我只不过是开个玩笑”,“我那么爱你,你怎么可以因为这点小事就和我斤斤计较?”

在这个过程中,Ta不断通过这些言语,让你怀疑自己 。久而久之,自责、愧疚、沮丧等一系列负面情绪就会紧紧包围着你。

3. 贬低、否认和指责(Degradation, Denying & Blaming)

你说:我不喜欢这么做
Ta说:这个最适合你了,你不够成熟,考虑的不够周全,听我的没错。
以后你就知道这么做的好处了,你看,我一直都在为你考虑

你说:我想尝试那个
Ta说:别傻了,那个你做不来的。
你总是想一些不切实际的,你现在的能力就只能先做我说的这个。
我这么做是为了你好,避免你走弯路

虽然这种言语,看上去是在为你着想,为你考虑,但事实上则是在强化你对自我“不够成熟”、“考虑不周”、“做不到”、“不切实际”的认知。你开始怀疑自己的判断力和自我价值,并逐渐相信ta比你更了解自己。此外,一旦你指出ta是否是在质疑你的能力,ta通常都会否认,并责怪你居然污蔑ta的善意。

再说几点可能谈不上人性的黑暗面,但算是男女关系中“现实”的一面吧

1. 无条件的爱不是时时刻刻的,是“有些时刻的”

心理学家Welwood认为,无条件的爱是一段感情能够长久的关键。因为,我们为彼此的幸福不求索取的付出,以及无条件接纳和爱彼此本来的样子,能让双方都感受到亲密的连结和幸福。但它不是时时刻刻的,而是有些时刻的。但也正是这些时刻的存在让亲密关系和一般的关系变得不同,变得更激烈、更扣人心弦。

我们需要认识到爱的本质是一个个不连续的瞬间,Barbara Fredrickson指出,持续不断的爱是不存在的,只存在一瞬间一瞬间的爱。她把爱定义为一个个“发生了积极共鸣的微小瞬间”(micro-moment of positivity resonance)。

这也就意味着,当我们把“我爱你”作为一种“持续的状态”去说出来的时候,我们体会到这种情感的方式仍然只能是通过一个一个的瞬间。即便是最美好的一段关系,我们也不可能无时无刻体会到“爱”。某种程度来说,所有的爱都是不连续的,断开的。

我们一定会在一些瞬间里,比再另一些瞬间里更爱对方。而另一些时候感受不到爱的存在(但在信念中它仍存在),即便是最相爱的情侣,也会在很少的有些瞬间感到对对方的厌恶和仇恨。

2. 付出更多的一方,可能在关系权力的平衡重处于劣势

我们都以为,好的关系是“平等”的。但在现实中,伴侣间力量感的差异,似乎才是亲密关系的常态。人们会或多或少、在不同的时间,感受到这种不对等。尽管力量感的差距不可避免,但哪些信号说明它已经是个问题?

很多时候,你只是那个“被告知”的人。在你们的关系中,小到看什么电影,大到是否要结婚、是否生孩子、去哪座城市生活等等都是由Ta决定的。不仅如此,当需要牺牲、妥协的时候,那个人通常都会是你。

当矛盾或冲突出现时,Ta从来不主动道歉,即便过错在Ta,你都是那个需要先道歉的人,否则你们很有可能陷入无休止的争吵之中。

你觉得Ta对你总是有各种各样的要求,满足了一个要求之后又会有新的要求。比如,Ta希望你学着做中餐,而当你学会了之后,又希望你还会做西餐、会烘焙等等。

你觉得你们的关系好像一场追逐游戏。追的人是你——你需要不断去靠近Ta,你对这种追逐似乎已经感到疲倦,而Ta还有可能随时随地终止游戏。

在性行为中,Ta也占据着主动权。比如,当Ta提出需求的时候,就必须被满足,而当你有需求的时候,却未必会被满足。

……

如果上述描述中,有让你觉得特别符合你的情况,那么,力量感的差异在你们的关系中可能已经值得被重视。这说明你们的关系中的确存在了 “权力的不平衡”。一些人比其他人拥有更多的权力、处于优势地位,从而使它们能在更大程度上去控制和影响其他人,以及彼此的关系,而占据优势地位的一方会比Ta的伴侣,拥有更大的决策权或是Ta的需求会被优先满足。但需要注意,权力不平衡更多描述的是一种客观存在的权力差异,它不同于情绪虐待的利用自己在权力上的优势,有意识地操控对方,权力不平衡不一定是由主观意愿造成的。

3. 爱情的确是有“保质期”的

在你刚刚进入一段关系时,你往往会感到甜蜜而富有激情,但是在一段时间过去后,或许你会发现,自己和伴侣之间的氛围发生了变化。这是“关系倦怠(relationship boredom)”的征兆。

关系倦怠指的是在一段关系中,一个人对这段关系或自己的伴侣感到麻木和疲倦。当一个人产生关系倦怠时,Ta会感到自己对伴侣的亲密感、对关系的满意度下降,而且,Ta会越来越多地发掘出关系中存在的问题。

关系双方的倦怠不一定是同步的。在一段关系中,可能双方都处于关系倦怠的状态,也有可能只是一人产生了关系倦怠。

关系倦怠分为缺乏新意型倦怠和劳累型倦怠。a. 缺乏新意型倦怠的产生是由于关系中缺乏乐趣,缺乏新意型倦怠者会对关系中的日常惯例(routine)感到厌倦,他们希望能在关系中体验到新鲜和趣味。而 b. 劳累型倦怠的产生是因为关系中存在种种问题,使得劳累型倦怠者感到疲惫。如果一个人长期处于劳累型倦怠中,但造成倦怠的问题却得不到解决,那么Ta会逐渐变得抑郁和无助,不再认为自己可以解决这些问题,从而失去修复关系的动力。

今天就先分享这么多,其中有那一条“戳中”了你吗?来评论和我们交流吧~

以上。

想更有针对性地解决心理问题,请关注KY心理课:【KnowYourself】KnowYourself,宇宙中最酷的泛心理学社区,人人都能看懂,但只有一部分人才会喜欢。-跟谁学官网

点击查看过往高赞回答:

年轻人千万别碰哪些东西?

有哪些看似很傻,实则聪明的行为?

恋爱中不合适就分手是什么心态?

为什么一部分女性不喜欢生孩子?

有哪些细微但是高效有用的习惯?

来源:知乎 www.zhihu.com

作者:KnowYourself

【知乎日报】千万用户的选择,做朋友圈里的新鲜事分享大牛。
点击下载

此问题还有 3069 个回答,查看全部。

延伸阅读:

为什么有的人在处理自己的事情时完全没有动力,完成别人的请求时却拼尽全力?

为什么有人在人多的教室更容易集中精力学习?

从平台一哥,到一无所有,甚至欠6000万赔偿需要多久?

蛇哥的微博已经一个月没有更新了。一个月前,蛇哥的线下自证以失败告终。在离开座位接受总结时,蛇哥像个犯了错的孩子一样不敢面对镜头。这晚,他成了继卢本伟之后第二个因开挂被锤倒的大主播。

但与卢本伟不同的是,他在短期内没有直播平台愿意接纳,同时还因之前的言行欠下了数千万元的违约金。这让前一天还拥有极高热度的平台一哥,瞬间一无所有,也为他追逐多年的明星梦想画上了休止符。

从一无所有,到平台一哥,蛇哥花了4年。从平台一哥,又回到失去一切,蛇哥花了1个月

蛇哥,本名曹海,在四川乐山大佛脚下长大。蛇哥从小就很要强,喜欢打架,他喜欢被人尊敬的感觉,他觉得如果身边的人都打不过他,他就会受人尊敬。

蛇哥的学习成绩和家庭条件都很一般,他没读大学就进入了社会。离开校园的蛇哥在乐山做过销售,也与人合伙干过成本很低的格子铺生意。

成人世界有成人世界的规则,打架不再能获得尊敬,只能把自己送进局子。面对既定的社会运行秩序,蛇哥拥有的少数长处失去了作用。

如果没有《英雄联盟》,蛇哥可能会和很多人一样,凑合活着。虽说学习不好,但他游戏玩的溜,在朋友的推荐下加入了一支有着TGA资格的战队。

TGA是什么?你可以把它当做半职业选手通往职业联赛的一个平台,在此之上的又分为职业联赛和次级职业联赛两个阶段。

22岁的蛇哥就这样成为了一个电竞选手,在一群未成年小孩的身边,他显然成了一位大哥。

这位大哥也确实没让小弟们失望,仅用了一年时间,蛇哥所在的Snake战队先是在TGA春季赛上获得冠军晋级次级职业联赛,然后又紧接着在次级职业联赛中打进了国内的顶级职业联赛。

蛇哥(中)和他的队友

这其中自然有蛇哥的一份的功劳,但年龄始终是电竞生涯的一道坎

晋级到顶级职业联赛的那年,蛇哥已经23岁,在这个圈子里都能被称为是中老年选手了。再加上2015年正处于《英雄联盟》职业联赛购买外援的狂热期,新队员的加入让蛇哥没有再打过一场职业联赛,只是挂名在Snake战队下。

打不了比赛的蛇哥,依然回到了赛场,但这次换了另一个身份——解说员。

在一群长相捉急的电竞少年中,蛇哥的五官和形象算得上是精致,而且职业选手的经历也给他转型成为比赛解说员加了不少分。

2015年1月9日,蛇哥初次以解说员的身份出现在了《英雄联盟》韩国职业联赛的解说台。在比赛开始之前,他在微博发了一张自拍照。

这之后,发自拍成了他的微博日常。

西装革履的坐在解说台,接受着直播平台数十万人气的注视,蛇哥或许会有那么一瞬间感觉自己完成了少年时的梦想——成为一个明星。

蛇哥从小爱唱歌,自认有着不错的音乐天赋,离开校园后还参加过一些电视台主办的歌手海选赛,但是没系统学习过声乐的他最好成绩也只是进入了省赛。

不过对于普通人来说,他唱的确实也还可以。去年他参加了一个名叫《游戏麦霸我最6》的K歌娱乐节目,被电竞圈知名人士组成的导师团连连夸赞,起码在电竞圈里能算是个歌星了。

但电竞圈与娱乐圈之间的差距还是很明显的,唱歌的路走不通,他当年还进过剧组打杂。在剧场远远望着那些大明星的他,估计怎么都想不到几年后的自己能有机会与这些人亲密接触。

蛇哥在当职业选手的那一年时间里其实没什么名气和粉丝,但是职业选手这个标签成了他之后成名的跳板。

退役后的他顺利转型到解说,不断在大小比赛前露面,他开始有了一些粉丝积累。这些粉丝也同样转化成了他个人直播间的观众,但这时的他仍然难以称得上是知名主播。

不温不火的时候最想成名,蛇哥有些地方很像曾经的薛之谦。他隔一段时间就会在微博上写个段子来吸引粉丝,但实际上并没有那么好笑。

他也很懂得运用人际关系。当时“大奶强”还是斗鱼的头部主播,蛇哥在游戏中遇到这位流量主播后不久便攀上了关系。线上一起组队玩游戏,线下一起吃饭、唱歌,不知道的还以为这两位是有着十多年交情的老友。

不管怎样,蛇哥的粉丝就这么一点点积累起来了。

按照直播平台的人气数据来看,当时他在虎牙也是有几十万人气的,虽然不是平台一哥,但官方解说和前职业选手的身份让他显得根正苗红,成了虎牙直播的牌面。但凡有需要主持的活动,都会找上他,这是通过这些机会,他近距离接触到了那些曾经可望不可及的大明星们。

蛇哥这下感觉自己真出名了,他想要走出去,不管是为了名还是为了利。

成名后的他可能变得太忙了,微博上再也看不到他与“大奶强”的互动,自然没有注意到“大奶强”是如何在更换平台的过程中消失的,更没有意识到合约没到期就离开老东家到底意味着怎样的法律风险。

消失一年的“大奶强”近期才刚复播

又或者,他认为只要名气有足够的提升,带来的正面效应就足以覆盖风险。

2015年,蛇哥在微博中回忆过他想通过唱歌来出名的那段日子:

我写了一首歌,然后唱给朋友听,但是他们都不会知道,我连谱都不会识。因为我以为写歌就是这样的,自己想,自己唱,自己开心。但这样做也逃不开我想走捷径,不踏实的性格,与做歌手,和想成名,是一个道理,都缺乏脚踏实地。

现在来看这番检讨有些早了,其实他进入电竞和直播圈的初期反而还算努力,无论是以队长的身份让战队接连晋级,还是四处借力逐渐成了一个有影响力的主播。

就算是突然跳槽到斗鱼,也是在一开始就得到了新平台的认可,毕竟一个月直播三百个小时不是谁都能做到的。

他也曾碰上过一个千载难逢的好机会。加入斗鱼后不久,前一哥卢本伟就因开挂和不当言论被锤倒了,同时另外两个大主播笑笑和西卡也在合约期满后更换了平台。蛇哥如果在这时抓住了机会,那他很有可能就不叫蛇哥了,而是一哥。

他也确实在一哥的位置坐上了一段时间,但是树大招风,锤倒卢本伟的剧情开始在他的身上上演。

去年下半年,蛇哥逐渐从原先的《英雄联盟》主播转变成了全职的吃鸡主播。来到斗鱼后,他直播中的很多操作都被人认为有开挂嫌疑,去年10月份还在直播中被封过一次号,即使后来账号被解封,仍让不少人都坚信他就是个挂逼。

于是他开始在微博上用无数个感叹号反击质疑者,但B站越来越多的实锤视频让这些感叹号都化为了问号,最后他迫不得已只能以线下直播的形式来自证。

直播自证这件事其实本身就没太大意义,线下这次有没有开挂与之前的直播很难构成直接关系。但蛇哥避重就轻的演示了之前被不少人称为神仙都做不到的操作——15倍镜压枪,这段直播镜头确实打消了一部分人的疑虑,满屏飘过去的都是“666”。

质疑声仍然存在,但蛇哥这次起码保住了自己原先的粉丝。

自证后不到半个月,斗鱼举办了一场年度颁奖典礼,蛇哥被评选为年度十大巅峰主播的第七名,他登台领奖时对着镜头说:

2017年我有一个称号,大家都叫我发明家。其实我是很认同这个名字的,因为这个名字告诉我,我是从无到有,没有走过捷径。

或许2015年他在微博上那段自我检讨更适合在这次颁奖典礼上坦诚,走没走过捷径,只有他自己最清楚。

和卢本伟一样,蛇哥“猝死”的根本原因不是开挂,而是他把自己置于了旋涡当中

在那场颁奖典礼之后,他突然发出了“蛇哥欠薪800万”的微博话题,内容直指斗鱼拖欠工资的问题,明眼人都能看出来,蛇哥要换平台了。

蛇哥是精明的,他的知名度因为外挂问题在短短数月有了质的提升,想通过跳平台来完成身价的提升。

但蛇哥又犯了低级错误,他用了很老套的欠薪问题来给自己当借口,这让他不仅涉嫌公开造谣,而且还违了约。

在他发布欠薪声明后,斗鱼迅速罗列了蛇哥造谣的证据,证明并未欠薪,并且表示将会提起诉讼,追究其民事及刑事责任。

而蛇哥这时也没停下来,开始公开在微博寻找下家,方式也很委婉,以再次自证的由头寻找有能力给他提供场地和监督的直播平台。

从后续反应来看,他此时还不是个烫手山芋,几大直播平台都纷纷转发,称可以为他提供线下自证的各种需求。

可能谎话说多了连他自己都信了,蛇哥在转发的直播平台中选择了企鹅电竞,但这次的直播内容不像之前只是对着墙演示一些高难度操作,他需要全程对战,观众只相信战绩。

直到自证那天,所有人才发现这哪里是在自证,简直就是自爆。

此时的他不再如以往直播时那般勇猛,吃鸡变得差不多和登天一样难,而好不容易吃了一次鸡之后,有人查了他直播时这个账号的游戏记录,发现他在前一天反复进入、退出游戏几十次,故意把分段降到连鱼塘局都算不上的600分。

然而更加让他崩溃的是,他在切换Steam账号时弹出了《绝地求生》账号封禁信息,直播间的弹幕立刻炸开了花。来现场参与监督的多位电竞圈人士开始离场,LGD战队教练梦晴在走的时候直接在微博上说:

走了走了,我觉得我受到了侮辱。

蛇哥的这次自证,隔着屏幕都能感觉到他的绝望,但让他更绝望的还在后面。

直播后的第二天,斗鱼发布了一条关于追责蛇哥违约及侵权的法律声明,要求蛇哥为他的不实言论道歉并赔偿1000万元损失,同时还因违约行为提起了诉讼,要求蛇哥赔偿3000万元,这两案共计4000万元的赔偿当时已交由法院受理。

这场自证可以用失败两个字来概括,企鹅电竞在自证直播结束后也想要暂时撇清和蛇哥的关系,发布了一条总结微博,其中第一条就写着“企鹅电竞并未与@蛇哥colin进行签约”。

斗鱼回不去了,企鹅不敢收了,连老东家虎牙也恰好在这时候送上了一份违约判决书。

2月13日,离年三十还有两天,虎牙在微博发布了一张判决书截图,称因蛇哥去年违约跳槽到斗鱼,法院的判决结果已经下达,蛇哥需在“三日内向广州虎牙信息科技有限公司支付违约金24048487.7元”

不提斗鱼那两个还没判决下的案子,光虎牙这一场官司蛇哥都难以负担。

以往主播跳槽最多只得罪一方,屁股兴许还有下家来帮忙擦一擦,而蛇哥最后的这一波操作让自己彻底陷入了进退两难的地步。

2月3日,蛇哥发布了最后一条微博,表示感谢企鹅电竞提供自证机会,并表示会通过比赛证明自己。那之后,蛇哥就从公众视野里消失了,在那条微博的最新评论里还不断会出现“扫墓”“上香”的字眼。

一个月都没有动静的蛇哥很难翻盘了,这怪不了别人,是他在所有路里面选了一条看似捷径,但实际上最难走的路。他曾也是个追梦少年,当梦想近在眼前的时候,伸出双手想要捧在掌心,但波光粼粼的水面把这个梦切得四分五裂。

他抬头一看,那个梦还远在天边。

*知乎初来乍到,这是我发的第二篇文章,搬运自我的公众号(名字叫“对对对你们都是业内”),会不定期更新,要关注哪边的帐号就看你们随意了。

来源:知乎 www.zhihu.com

作者:对长

【知乎日报】千万用户的选择,做朋友圈里的新鲜事分享大牛。
点击下载

动力电池领域的未来可能挑战者,但非现在——评锂空电池系列技术及最新研究进展

声明:

本文已经首发在第一电动汽车网:
电动汽车之家,为新能源汽车而生 - 第一电动网

本文为本人个人业余时间创作,不代表任何组织、企业的观点

锂空气电池是一种非常有潜力的高比容量电池技术,其利用锂金属与氧气的可逆反应,理论能量密度上限达到11000Wh/kg,远超过锂电池目前200+Wh/kg的实际能量密度,因此得到了学术界和工业界的热捧,被广泛认为是一项电池领域中未来的颠覆技术。然而锂空电池方面的研究在业内也一直存在着不少质疑之声,不少人认为锂空电池定义不明(应叫锂氧)、反应机理复杂、极化大效率低、循环寿命不佳,并不是未来(动力电池需求为重要行业推动力的)电池工业的靠谱发展方向。当然在此过程中,研究人员不断努力开展工作,产生了许多成果,对该方向前景的讨论也在不断深入。

最近美国科学家等在锂空电池的研究方面达成了突破,在《NATURE》上发文,成功制成了可在类空气气氛中循环超700次的电池,很好的解决了之前很多体系只能与纯氧反应、循环寿命很差(常常只有几十次)的问题,在该领域的科学研究层面取得了重大进展。在此,笔者将简单介绍该文的研究进展内容,并简要展望锂空电池技术未来的工业化实用前景。

1. 美国科学家工作介绍

1.1 锂空电池技术概念讨论——抑制副反应的重要性

锂空电池技术的一大优势就在于11000Wh/kg的理论密度上限几乎可以与化石燃料相媲美。然而该数据只是一个最为乐观的估计方法。该电池目前一般公认的反应机理为:

2 Li+ O2 ↔Li2O2

在该反应中,如果不计算O2的质量占比,认为其从空气中取之不尽,当然可以以纯锂在本反应中的能量变化值来直接计算得到11500Wh/kg的理想值(下图)。然而该计算实际上并不严谨:1)反应体系的比能量计算不应该抛除反应气体的质量,如果计算入O2的质量,该反应体系的能量密度马上会下降为3500Wh/kg;2)实际上锂金属会与空气中几乎所有的成分发生复杂的不可逆反应,这也是锂空电池体系技术的一大瓶颈。

对锂空电池理论能量密度的计算(不包括氧气的质量),摘自Jeff Dahn的报告《Electrically Rechargeable Metal-air Batteries Compared to Advanced Lithium-ion Batteries》

因此实际上,锂空电池(Li-air)的严格定义是锂氧电池(Li-O2),而抑制锂金属与空气中其它各组分的复杂反应实际上锂空电池的最重要的一个先要解决的基础问题

1.2 本文的解决办法

该文章作者提出的解决办法为:在充满CO2的气氛中,对锂负极进行反复的电化学充放循环,使其表面生成Li2CO3/C复合保护层。研究人员使用了SEM、EELS、XPS对于该层的致密形貌、化学键合状态、元素存在情况进行了表征,确认了该层的生成情况。然后对该有保护层的锂电极做测试,他们发现即使在深度循环把锂全部用光的stripping test(0.5mA/cm2)中,其也可以实现每周循环中锂容量/物质99.97%的保持率,这一数据远高于行业内的其它研究成果。

1.3 全电池反应、寿命情况与保护层制备工艺优化

该文作者用MoS2阴极、有该保护层的锂阳极,EMIM-BF4/DMSO(25%/75%)混合电解液制成了全电池,并在人工配成的类空气气氛中进行实验。第一周的反应开始发生在2.92V,与Li2O2形成的电势2.96V非常接近,说明了主反应进行良好,在3.75V时达到了500mAh/g的比容量。第一周循环的极化电压差为0.88V,50周后为1.3V,550周后为1.62V。而在反应达到700周后,电池依然可以工作;与此形成对比的是,不经保护的锂空气电池只能循环10次左右就已经失效。对于保护层的厚度选择,该文作者认为:太薄的保护层会导致电解液分解,厚的保护层又会导致大的电荷转移电势以及副反应,因此需要优化。经实验,发现10次循环制备的保护层厚度最为合适。

A 本文有保护层的电池反应第一周到第550周的充放电曲线 B 10次预循环制备的保护层样品可以达到最优的循环性能
本文制备的锂空、锂氧电池随循环的极化电压情况变化

1.4 各种表征手段说明对于副反应的抑制

进一步的,作者采用了RAMAN研究了循环后正极表面的放电产物,发现只有反应需要的Li2O2,没有其它杂质,而该Li2O2在电解液中也表现出了良好的稳定性。作者还结合了NMR方法,进一步证明了该体系中没有空气中常见的CO2、H2O导致的更为复杂的反应。最后作者还结合DFT的计算方法,说明了该保护层可以有效阻止N2、O2扩散到锂金属负极(抑制副反应),但是有利于锂离子扩散到正极(需要的反应)。还使用AB INITIO的算法说明了水分子与Li2O2的反应在热力学上是难以进行的,与CO2的反应需要多个CO2组成的团簇,而这在空气中的低CO2浓度的条件下很难实现。

1.5 小结

由上可见,该文给出了细致的分析表征手段,说明了该生长保护层的方法对于锂空电池副反应抑制和循环寿命的提高具有明显的效果。这两个问题都是困扰锂空电池的核心挑战,因此该文的工作可以说在基础研究方面取得了重要突破。

2. 锂空电池技术展望

锂空电池技术一直是受到人们重视的热点技术,其理论能量密度高得到了大家的一致期待,但是该技术的问题和挑战也一直非常多。更有不少业内人士指出:“锂空气电池结合了燃料电池和锂离子电池的缺点”、“反应副反应太多”等一系列问题。在这里,笔者也想基于此文进展和工业界对于电池技术的期望,简单展望一下锂空电池技术的前景。

2.1 实质上的锂氧电池与空气中各组分导致的副反应

在刚才的分析中已经说了,锂空电池的实质是锂氧电池。空气中广泛存在的各种其它成分,除了惰性气体,几乎都会与锂产生不利的化学反应,极大影响锂空电池的寿命。之前研究中,锂空气电池较差的循环(大多几十次)基本都与此问题有关。

当然有些研究也会建议使用外带氧气罐提供纯氧来解决这个问题,但是这在实际应用中是极其不实际的一种选择:1)氧气罐会极大的降低该体系的理论能量密度,从3500Wh/kg的理论密度的基础上继续扣除氧气罐的重量,最终可能导致该体系完全丧失能量密度这一唯一的优势;2)极端危险,氧气罐本身就会带来使用上的危险,这对于电池要求的安全性来说更是难以跨越的门槛。

该文通过不太困难的表面保护层生成工艺,在抑制与空气中N2、CO2、H2O反应方面的确取得了良好的效果,至少在基础研究上证明了突破这一问题的可能性。当然也有业内的人士指出,该类保护层的稳定性并不是特别的理想,可能还需要进一步的深入研究加重复验证,进一步落实该研究方向的成果,以指引接下来的发展方向。

2.2 极化、能量转换效率、和体积参数——制约实用化的重要参数

本文研究增加了保护层,该层实际上是以增大了内阻(增加初始极化)的代价换取了稳定性和循环寿命。因此我们可以看到,在低反应电流的条件下,第一周循环的极化电压差较大(0.88V),而随着循环进行体系性能进一步发生了衰减,50周后为1.3V,550周后为1.62V。对比之下,在小电流下商用的锂离子电池常常只有0.1V左右的过电势,仍然可以明显说明锂空电池技术距离实用化的距离。

锂空电池这样大的极化对应到的能量转化效率实际上只有60~70%,这对于实际使用来说还是一个非常难以接受的数据,对于动力电池方面尤其如此。另外,与很多纳米相关的研究方向一样,锂空电池的研究成果对于体积比能量(Wh/L)的报道也很少,而这一参数对于动力电池领域也是一个至关重要的参数。在此再次援引JEFF DAHN教授的报告中的内容,其指出锂空电池的理论体积比能量是3400Wh/L(大约是锂离子电池的三倍),因此在这方面虽然有优势,但是并不如想像那么大。而如果考虑到锂负极应用时需要的锂过量,可能优势就更小了。因此锂空技术的实用化,也需要锂金属电极技术的进步。

锂空与锂离子电池的体积比能量对比(理论值),摘自Jeff Dahn的报告《Electrically Rechargeable Metal-air Batteries Compared to Advanced Lithium-ion Batteries》

另外在该文中,似乎完全没有提及质量比能量 (单位Wh/kg)。要知道做锂空,我们“图的”就是高比能量——因为锂空的其它性能其实并不理想。因此我们也非常期望作者能有进一步的工作放出,给我们这方面的信息和指导。另外,二次锂空电池的成功使用仍然不能摆脱对于合适的ORR/OER的催化剂的依赖,而能找到能同时胜任这两个功能的材料就更是困难。

2.3 动力电池的需求

实际上,近几年来电池工业的飞速扩张的主要动力来自于动力电池行业的需求,因此电池技术的发展、技术的实用化过程中常常最需要考虑的就是动力电池的需要,主要有以下几个方面:

1)高质量比能量——关乎电动汽车的续航里程问题,这也是锂空电池技术潜力和希望所在。当然理论容量和实际容量是一回事,实验室容量与工业量产容量又是一回事,在这方面锂空技术要走的路应该还有很长

2)高体积比能量——以乘用车为代表的电动汽车对于电池体积有严格的要求,此时电池不仅要轻,还要小,要能“塞”入汽车。而对于包括锂空电池的很多新兴电池技术来说,它们的体积相关的参数常常是非常不理想的——因为常常使用的是低密度、高孔隙率的材料体系。因此如果不考虑这些参数,他们可能本质上更适合于对于体积要求不高的固定式储能场合,但是此时对于能量转换效率要求就会更加苛刻,所以似乎境遇有一些两难。

3)能量转换效率&快速充放——实际上我们使用电池都希望可以“进去多少能量,出来多少能量”,当然这个是不可能的,但是高的转换效率意味着更少的能量损失,也意味着快速充放(内阻小——能量转换效率高——发热浪费小——更有利于使用快充类)。而在此时,锂空电池即使在低倍率下都极大的极化必然会导致非常不理想的能量效率与倍率性能,这也是其在动力电池领域中的实用化要克服的重要障碍

4)简单粗暴的反应机理与工业化中的精细控制——这一条说的可能有些太过直白,而且甚至可能有些看似“前后矛盾”。其实,实验室中可以开发非常多的技术,但是工业化成功的是少数。原因为何?

一个技术要走向实用,首先就是在实验室中搞清其基本机理,然后确定可以放大工业化的技术路线,最后经过中试放大实现稳定的量产。如果一个技术反应控制过于复杂,即使在实验室等级都难以彻底搞清,那么想要把这个反应控制好,在工业反应中放大几乎就是不可能的任务。而很不幸的是,锂空电池目前就几乎还处于“需要在实验室中搞清”的这个阶段,因为其副反应太多,控制很困难,可以说甚至连业内公认的技术路线都还没有,更不需要说后面要实用化还需要走的漫漫长路

与锂空相比,普通锂离子电池的反应就简单粗暴,易于执行,而这也是工业化的一个前提——这个技术应该是简单粗暴,易于理解的——这样才能够落实给生产线上的操作工人,以最简单的标准化工序来放大生产。同时这些技术也需要能简单地在每一个环节精益求精地改进,使工艺的每一个细节达到最完美的控制,从而让大规模生产出的产品具有足够的一致性和稳定性,这样才能使技术真正的实用。

3. 小结

综上所述,锂空气电池是一种有前景的技术,最新的研究表明很有希望解决一项重要的技术瓶颈,然而如果以工业实用化为期望目标它还要走的路还很长,还需要科研界和工业界的共同努力。

来源:知乎 www.zhihu.com

作者:弗雷刘

【知乎日报】千万用户的选择,做朋友圈里的新鲜事分享大牛。
点击下载

时间地理学的符号系统及其规划意义

1.时间地理学的时代背景

20世纪60年代后期,瑞典地理学界哈格斯特朗及其领导的隆德学派创立了时间地理学。时间地理学的诞生有着复杂的理论与现实背景。然而,时间地理学在其诞生后较长的时间内,并不直接研究城市的时空间结构,而是研究处在这种结构中的人的时空行为。随着对人时空行为研究的逐渐成熟,时间地理学者试图通过人的时空行为来表征和研究城市的时空间结构,正如同城市空间分析学派通过城市土地利用来表征城市空间结构一样。

20世纪中后期的西方世界,经历了战后较长一段时期的高速发展,城市在发展和建设的过程中出现了一系列的问题,而这些问题的诞生又多源于对人的多样化需求关注不足。人文地理学在快速发展的过程中也形成了若干流派,但是,无论是早期的区位论模型还是稍后的城市土地地租理论,学者们都是通过研究城市居民活动的外部环境来认识城市。在这种背景下,诞生了人本主义地理学和行为主义地理学等更加关注人的地理学流派,时间地理也是在这种背景下形成和发展起来的。

针对计量地理学和区域地理学中对人这一行为主体关注不足的问题,哈格斯特朗曾借助一位林业学家的话认为,“林业是人类的林业,而非树木的林业”,同样,区域是关于人类的科学,而非关于区位的科学,由此倡导并发展了时间地理学(Hägerstrand T.,1970)。它研究的是人类行为的时空关系,在其话语体系中,人类所有的活动均被视作行为(Miller H.J.,2005)。时间地理学作为一种以逻辑演绎为基础的方法论,其所研究的内容十分广泛,在其基础上所延展的时空关系的相关研究是本文研究的研究对象。

由于时间地理学在提出之后的一段时期内停留在理论框架与概念的建构方面,20世纪80年代和90年代前期,时间地理学研究由于受到其它人文地理学流派的批判,尤其是遇到了数据获取和批量数据运算等方面的瓶颈,发展速度受到限制,呈现出相对低迷的发展态势。之后,时间地理学在方法论方面不断完善,并扩充内涵及研究领域,尤其是与GIS技术的结合一定程度上突破了地理学的研究范畴,产生了一大批时空关系研究的相关成果,也形成了时间地理学相对完整的符号系统。

2.时间地理学的符号系统

时间地理学的研究有相对完善的符号系统,其符号系统以人的时空行为为核心逐步展开。其中特征最为鲜明的符号包括时空路径、时空约束和潜在活动区域等。

(1)时空行为和时空路径

在时间地理学的语境下,人的任何活动都被称为行为,占有一定的空间和时间,因此被称为时空行为。把连续的时空行为绘制在由二维空间和一维时间组成的三维时空间中所形成的联系曲线称为时空路径。时空路径具有两个基本特点:首先一条完整的时空路径是联系并且不可分割的;其次时空路径是有方向的;再次,时空路径在时间方向上是不可逆的。以居民日常出行过程中的时空共存模式为例,其时空共存的模式可以通过如图所示的时空路径表达。

图1 时空共存模式下的几种时空路径特征

(2)时空约束和时空棱柱

人要满足工作、学习、娱乐和购物等各种不同的需要一般需要从一个地点移动到另外一个地点,然而这些移动受到了一定的制约。哈格斯特朗在界定约束的同时把约束分为三种基本类型:能力约束(capability constraints)、耦合约束(coupling constraints)和权利约束(authority constraints)。

能力约束是指个体行为受到自身能力的制约。这里的能力既包括生理能力、经济能力也包括社会能力。个体需要休息、用餐和其它生理性需求,每个人的一日活动时间均是24小时,比如某个体有两个小时的时间购物,如果步行,只能到居住区附近的市场购物,如果驾车则可以到更远的市场购物,但无论是采用哪种交通方式,都会受到约束,只不过是约束的程度不同而已。耦合约束是指个体必须与另一个体或群体必须时空共存。比如,老师要给同学上课,因此他的时空路径必须经过特定的上课地点和上课时间,对于教师来说这是活动的耦合约束。权力制约是指法律、习惯和社会规范把个体从特定的时空范围内排除的制约,比如小区中的小学或幼儿园,对于普通人来说它是一种时空不可达的区域。

把个体已经发生的行为绘制成时空路径,它是一条非常清晰和精确的曲线。然而对于将来可能产生的时空路径则包含了无数种可能,它无论有多少可能它们均受到约束因子的制约,在约束因子的影响下,时空路径在时空区域中有一个表示潜在可能的范围,这种绘制在时空坐标下的潜在范围被称为时空棱柱。从表面看,时空棱柱表示存在潜在可能的时空路径区域,实际上时空棱柱的形状和范围是由约束因子决定的,在本文的研究过程中,将作为衡量时空约束的指标。

(3)潜在活动区域

时空棱柱表达了时空约束和潜在时空路径区域的双重属性,但是其明显的缺陷在于并非以观察到的行为作为基础,同时在操作层面需要大量的细节数据作为基础。潜在活动空间表示个体时空路径的可能性在零以上的时空区域,它如同时空路径一样绘制在三维时空坐标轴中,它由个体的时空预算、行为过程中用于交通的时间、潜在的出行速度等决定。潜在路径空间在二维空间平面上的投影即为潜在路径区域。它是一个连续的二维空间,然而由于用于交通的区域对行为者而言意义较小,因此在实际的研究中在忽略交通线路的情况下可以把潜在路径区域作为离散的区域来处理(图2)。

图2 潜在活动区域的概念示意图

3.时间地理学研究在城市规划领域中的意义

意义一:通过研究居民对空间诉求来探索“以人为本”的城市规划理念的实现方式,是城市规划理念的有益探索。

我国新型城镇化和城市规划都强调“以人为本”,然而以人为本在城市规划领域应该以怎样的方式呈现?通过把既有的方案放在居民面前让他们回答是否满意的方式呈现并不是最好的选择,以这种多少有点“作秀”的方式来表达规划师对以人为本的理解简便可行但效果并不会太好。城市规划是一个复杂的系统科学,即便是职业规划师也会因研究方向和领域的差异难以对规划方案的全局进行评判。事实上,每一位居民都对现有城市空间结构在出行上做出了响应,并且通过对不同出行行为的满意度对已经实施的规划方案进行了打分。城市规划领域进行居民出行及其满意度的相关研究才是表达对“以人为本”理解的更合理方式。

意义二:探索城市规划领域中“见地不见人”工作弊端的解决路径,提供了一种“见地又见人”工作路径的有效尝试。

时空行为研究领域的鼻祖哈格斯特朗教授曾借助林业专家的话说“林业是人类的林业而非树木的林业,同样,区域科学是关于人的科学而非地的科学”。事实上,城市规划亦然。当前城市规划最大的弊端就是“见地不见人”,解决这一问题的一个重要途径是对居民日常出行的行为模式进行研究。然而,正如同城市规划一样,对行为模式本身的研究也是复杂而研究的科学,它无法通过“你有什么样的空间诉求”这种简单的问答方式直接解决。

时间地理学起源于20世纪60-70年代的瑞典,其创立的时代背景学术背景就是人本主义思潮的兴起,而其直接的现实背景正是解决城市规划领域中“见地不见人”的工作弊端。它经过20世纪60-70年代的概念初创、80-90年代的理论完善以及21世纪以来的迅速发展不断成熟,为城市规划领域解决“见地不见人”的工作弊端提供了很好理论基础和工作方法。

意义三:通过规范的行为模式研究探索时空行为背后的空间隐喻,提供了城市规划全新的空间理解视角。

城市是一个复杂的巨系统,对其空间结构的研究可以通过土地利用形态、城市功能布局、交通组织方式、社会功能分区、经济空间分异等多种不同的方式实现。当从每一个独立的要素去解析城市空间结构的时候似乎都没有问题,然而,既然各个要素空间都没有问题,那么如此多的“城市病”又病在何处?事实上,规划师已经意识到当城市功能布局出现问题的时候,交通问题的解决已经很难通过交通组织本身的优化来解决城市拥堵的问题。

同理,当社会空间和功能空间发生错位的时候也很难通过土地利用形态的调整来解决产城不融合的现象。问题的根源在于学科研究以独特的研究视角见长,而城市问题的产生恰恰在于独特的研究视角对其它要素的忽视。时空行为研究的所长正是为了弥补要素研究的所短,它通过综合的居民出行行为研究解析时空行为背后的空间隐喻,以一种程式化结论引导未来城市规划的发展。

意义四:通过模式化的研究来丰富时间地理学和城市规划的基本理论,能够为城市规划领域提供有价值的参数依据。

时空行为研究的一个重要目的是了解居民的空间诉求,但如果仅仅是为了实现这一目的大可采取一种比较随意的访谈方式来进行。事实上,采取一种更为严肃和程式化的流程对这一问题进行研究的深层原因在于研究的终极目的是获取一种具有普适性和可推广性的结论。研究更为重要的目的在于通过研究地方的独特性获取行为模式一般性的研究规律。显然,这样的工作目的不大可能通过一个学者或研究团队来完成,而必须同时世界各个国家和地区的研究者和团队共同完成。采用严谨而模式化的研究能够把地方的研究与其它学者的和团队的研究相结合、相对比、相印证。

作者:
古杰,原深圳市城市规划设计研究院规划师

(注:文章配图由作者提供)


来源:知乎 www.zhihu.com

作者:深圳规划院

【知乎日报】千万用户的选择,做朋友圈里的新鲜事分享大牛。
点击下载